maxDepth()
1. If tree is empty then return 0
2. Else
(a) Get the max depth of left subtree recursively i.e.,
call maxDepth( tree->left-subtree)
(a) Get the max depth of right subtree recursively i.e.,
call maxDepth( tree->right-subtree)
(c) Get the max of max depths of left and right
subtrees and add 1 to it for the current node.
max_depth = max(max dept of left subtree,
max depth of right subtree)
+ 1
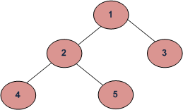
(d) Return max_depth maxDepth('1') = max(maxDepth('2'), maxDepth('3')) + 1
= 1 + 1
/ \
/ \
/ \
/ \
/ \
maxDepth('2') = 1 maxDepth('3') = 0
= max(maxDepth('4'), maxDepth('5')) + 1
= 1 + 0 = 1
/ \
/ \
/ \
/ \
/ \
maxDepth('4') = 0 maxDepth('5') = 0
# Python3 program to find the maximum depth of tree
# A binary tree node
class Node:
# Constructor to create a new node
def __init__(self, data):
self.data = data
self.left = None
self.right = None
# Compute the "maxDepth" of a tree -- the number of nodes
# along the longest path from the root node down to the
# farthest leaf node
def maxDepth(node):
if node is None:
return 0 ;
else :
# Compute the depth of each subtree
lDepth = maxDepth(node.left)
rDepth = maxDepth(node.right)
# Use the larger one
if (lDepth > rDepth):
return lDepth+1
else:
return rDepth+1
# Driver program to test above function
root = Node(1)
root.left = Node(2)
root.right = Node(3)
root.left.left = Node(4)
root.left.right = Node(5)
print ("Height of tree is %d" %(maxDepth(root)))
# This code is contributed by Nikhil Kumar Singh(nickzuck_007)
<script>
// JavaScript program to find height of tree
// A binary tree node
class Node
{
constructor(item)
{
this.data=item;
this.left=this.right=null;
}
}
let root;
/* Compute the "maxDepth" of a tree -- the number of
nodes along the longest path from the root node
down to the farthest leaf node.*/
function maxDepth(node)
{
if (node == null)
return 0;
else
{
/* compute the depth of each subtree */
let lDepth = maxDepth(node.left);
let rDepth = maxDepth(node.right);
/* use the larger one */
if (lDepth > rDepth)
return (lDepth + 1);
else
return (rDepth + 1);
}
}
/* Driver program to test above functions */
root = new Node(1);
root.left = new Node(2);
root.right = new Node(3);
root.left.left = new Node(4);
root.left.right = new Node(5);
document.write("Height of tree is : " +
maxDepth(root));
// This code is contributed by rag2127
</script>Height of tree is 2#include <iostream>
#include <bits/stdc++.h>
using namespace std;
// A Tree node
struct Node
{
int key;
struct Node* left, *right;
};
// Utility function to create a new node
Node* newNode(int key)
{
Node* temp = new Node;
temp->key = key;
temp->left = temp->right = NULL;
return (temp);
}
/*Function to find the height(depth) of the tree*/
int height(struct Node* root){
//Initialising a variable to count the
//height of tree
int depth = 0;
queue<Node*>q;
//Pushing first level element along with NULL
q.push(root);
q.push(NULL);
while(!q.empty()){
Node* temp = q.front();
q.pop();
//When NULL encountered, increment the value
if(temp == NULL){
depth++;
}
//If NULL not encountered, keep moving
if(temp != NULL){
if(temp->left){
q.push(temp->left);
}
if(temp->right){
q.push(temp->right);
}
}
//If queue still have elements left,
//push NULL again to the queue.
else if(!q.empty()){
q.push(NULL);
}
}
return depth;
}
// Driver program
int main()
{
// Let us create Binary Tree shown in above example
Node *root = newNode(1);
root->left = newNode(12);
root->right = newNode(13);
root->right->left = newNode(14);
root->right->right = newNode(15);
root->right->left->left = newNode(21);
root->right->left->right = newNode(22);
root->right->right->left = newNode(23);
root->right->right->right = newNode(24);
cout<<"Height(Depth) of tree is: "<<height(root);
}